量子信息技术与区块链的融合模式研究

Connor 比特币行情 2024-06-04 89 0

作者:

吴嘉杰(1998-),男,硕士,工程师,主要研究方向:量子计算、区块链。

于春霖(1987-),通信作者,女,博士,高级工程师,主要研究方向:量子信息。

李琴(1984-),女,博士,教授,主要研究方向:量子信息、量子密码学。

摘要:

区块链与量子信息技术是近年来兴起的前沿科学技术,受到了业界广泛的关注与研究。其中区块链具有去中心化性质,以区块链为核心技术的应用在金融科技、物联网、民生与政治等诸多领域相继涌现。量子信息技术主要分为量子计算、量子通信、量子测量。其中量子计算的研究主要体现在相较于经典计算的计算优越性,量子计算的运行速度已被证明在解决某些复杂问题上远超经典计算。而在两者迅猛发展的同时,相互之间也存在亟需解决的问题。由于区块链采用的部分经典密码学技术已被证明会被量子计算破解,例如基于非对称密码体制的数字签名,导致区块链的安全受到威胁。针对此问题,已有研究表明,将量子信息技术应用于区块链,可以保护其不受量子攻击。以区块链与量子信息技术相结合为出发点,通过介绍区块链和量子计算的基本结构,以及分析区块链遭受的量子挑战并总结现有的量子解决方案,指出区块链和量子信息技术的融合可以促进区块链在量子时代良好地发展,而这也是不可阻挡的趋势。

0 引言

2008年,中本聪在《比特币:一种点对点电子现金系统》白皮书中首次提出区块链概念[1],以去中心化、不可篡改为标志的分布式账本技术至此出现在大众的视野里。区块链的发展经历了三个阶段。首先,比特币的诞生代表区块链1.0阶段,其主要体现在加密货币领域,在此期间出现了众多的加密货币。其次,在2014年,智能合约和区块链的结合——以太坊平台的出现标志着区块链进入2.0阶段[2]。智能合约的加入使得区块链具备较强的可扩展性,并在金融领域得到广泛的应用,例如数字资产管理、外汇金融和众筹等。目前,区块链正处于3.0阶段,其应用已全面覆盖社会的各行各业,包括数字政府、金融、智慧医疗、物联网、教育等领域,区块链的作用越显重要。同时,国内外政府和大型机构等纷纷布局于区块链,推动着区块链的迅猛发展。2016年,我国发布《中国区块链技术和应用发展白皮书》,成为我国区块链在技术和应用上的导向;2019年10月,习近平总书记强调“把区块链作为核心技术自主创新的重要突破口”;区块链于2021年3月作为数字经济重点产业被写入《中华人民共和国国民经济和社会发展第十四个五年规划和2035年远景目标纲要》。国内的互联网科技企业如华为、京东、阿里和腾讯等也积极开展区块链项目,成立区块链实验室。与区块链相关的新兴企业如雨后春笋般涌现。此外,英国在2016年发布《分布式账本技术:超越区块链》报告,明确区块链的重要性;2019年,德国通过区块链战略草案,以发展区块链技术优先;Linux发起Hyperledger项目吸引众多机构参与等。区块链技术不断进行迭代更新,在未来将具备越来越大的影响力。

支撑区块链快速发展的原因在于其本身的架构可以在没有第三方监管的情况下完成点对点的交易,具备高安全性。区块链是将一段时间内的数据打包成区块,再以时间顺序将区块连接起来的链式数据结构,其中采用密码学保证数据的不可被伪造和篡改,主要为数字签名和哈希函数。然而,量子计算作为另一种新兴的前沿科学技术打破了现有的经典计算模式,可以轻易解决许多经典计算无法在短时间内处理的问题。最显著的冲击体现在经典密码学中依赖于数学问题难解性的大量技术在即将到来的量子时代失效,而这直接影响到现有区块链的安全性。2018年,Fedorov等人指出量子计算将区块链的安全至于危险之中[3]。同年,Ikeda通过介绍和分析区块链和量子计算的结构,着重表示区块链中基于非对称密码体制的数字签名在量子计算下被破解[4]。由此可知,在通用量子计算机被研制出后,如果区块链面临的量子威胁问题不被解决,区块链的发展将停滞不前。

展开全文

目前,量子计算机的发展正如火如荼,在超导、光量子多路线上展示量子优越性。2019年,谷歌发布量子计算机Sycamore,其具有53量子比特,可以在200 s内解决经典计算机需要一万年才能完成的随机线路采样任务,证明“量子优越性”[5]。2020年12月,我国的潘建伟院士团队设计并制造了量子计算机“九章”,可以操纵76个光子作为量子比特,能在一分钟之内完成经典超级计算机需要一亿年才能解决的高斯玻色采样任务[6]。2021年5月,潘院士团队继续研发出能操纵62个量子比特的可编程超导量子计算原型机“祖冲之号”,并在其上实现二维量子行走,做到我国的量子计算优越性[7],10月,将可操纵量子比特数提至66,升级为“祖冲之二号”。2022年6月,加拿大Xanadu的Borealis光量子计算机完成了216压缩态高斯玻色采样实验,再次验证光量子计算优越性。量子计算机的发展已取得十分重大的成就,同时,各国正不断加大对量子计算机研发的投入,在不久的将来,具备更高性能的量子计算机有望实现。

为了应对经典密码学面临的量子挑战,量子密码学诞生,其基于量子力学原理提出了许多具备无条件安全的技术,例如量子密钥分发、量子隐形传态和量子数字签名等。而经典密码学和量子密码学存在许多共同的特性,因此,在解决量子计算对区块链的攻击问题上,众多学者将目光转向量子信息和区块链的结合,试图寻找新的解决方案。已有研究证明,将量子信息中的技术与区块链进行结合,可以提高区块链的安全性,使其不受量子攻击。本文将详细介绍量子信息与区块链相结合的解决方案,总结量子信息和区块链该如何交叉融合,为后续的研究提供借鉴。本文首先介绍区块链的架构以及其所遭受的量子挑战,然后对量子计算进行阐述,接着详细给出已有的量子区块链方案并分析量子信息应用于区块链的一般方法。

1 区块链和面临的量子挑战

1.1 区块链架构

区块链是多种技术的集成,是以P2P网络技术、密码学算法、共识机制和智能合约等技术为核心实现的分布式账本[9]。一般而言,区块链分为六层,包括数据层、网络层、共识层、激励层、合约层和应用层[10],如表1所示。数据层封装区块链的数据结构、非对称加密算法、哈希函数和时间戳技术等;网络层定义区块链的网络环境,包括P2P网络技术、数据传播和数据验证协议等;共识层封装区块链使用的各种共识机制,比如工作量证明(Proof of Work, PoW)[1]、权益证明(Proof of Stake, PoS)[11]和委托权益证明(Delegated Proof of Stake, DPoS)[12]等;激励层提供促进区块链良好运行的功能,引入经济因素激励区块链节点诚实且高效地完成工作;合约层赋予区块链灵活的可编程特性,封装各类虚拟机、算法和智能合约等;应用层封装区块链的各类应用实例,例如加密货币、金融科技以及其他广泛应用于社会各领域的案例等。

量子信息技术与区块链的融合模式研究

在区块链架构中,保障其底层安全的是密码学技术。区块链中的每一笔交易需要通过基于非对称密码体制的数字签名签署和验证,从而保护数据的不可否认和不可伪造。主要使用的是基于椭圆曲线公钥密码机制的椭圆曲线数字签名(Elliptic Curve Digital Signature Algorithm, ECDSA)[13]和RSA加密算法[14],分别以椭圆曲线离散对数求解和大整数因式分解的难解性作为安全保证。同时,非对称密码体制也可为区块链节点提供生成账户地址的功能,其与节点的资产安全息息相关。此外,哈希函数在区块链安全中也起到了关键性作用。哈希函数的本质是单向函数,将任意长度的数据映射成固定长度的值输出——哈希值,并且这个计算过程是不可逆的,具备压缩、高效、单向、抗弱碰撞和抗强碰撞等性质。基于哈希函数的这些特性,区块链中的区块数据以哈希值进行标识,区块之间通过哈希值进行链接,可以防篡改并保护区块数据的完整性。以众多密码学技术为基石,构建了区块链的安全体系,使得区块链能在分布式环境下保证数据的安全。

此外,实现区块链作为分布式账本的功能的关键要素在于共识机制。区块链实际上是由所有节点共同维护且每个节点都拥有副本的分布式数据库。而共识机制在区块链去中心化和去信任的条件下保证节点之间的数据一致。大体流程为节点之间产生交易数据,一段时间以内的交易数据打包成区块继而被广播至对等网络中,执行共识算法,通过共识之后该区块加入区块链中。以共识机制的规则决定区块的记账权,从而实现不需要可信方监管,节点数据保持一致的分布式账本。目前主流的共识机制有依靠算力竞争寻找特定哈希值的PoW、以权益的大小决定记账难度的PoS和基于投票的DPoS等适用于不同的应用场景。

1.2 区块链面临的量子挑战

通过1.1小节描述的区块链基础知识可知,区块链中采用了许多经典密码学技术,特别是非对称密码体制和哈希函数。然而,量子计算具有经典计算在部分数学难题求解上无法比拟的计算优势,以强大的并行计算能力对经典密码学发起了冲击。一些量子算法的提出,证明经典密码学中的非对称密码体制和哈希函数等技术不再安全,而这也直接导致区块链遭受巨大的安全威胁。不少研究者指出,区块链面临的量子攻击主要体现在两点,一是对区块链中应用非对称密码体制的攻击,二是对区块链中应用哈希函数的攻击。

首先,Shor量子算法可以在多项式时间内解决大整数因式分解和离散对数求解等数学难题。而非对称密码体制一般基于此等数学难题生成公私钥对,这意味着在量子环境下非对称密码体制会被破解,私钥的安全得不到保证[15]。在区块链中,非对称密码体制的应用十分广泛,包括对交易的数字签名以防止否认或伪造交易、网络间的加密通信、进行身份认证以及生成钱包地址等。因此,在区块链运行过程中,攻击者可以使用量子计算机运行Shor量子算法破解区块链使用的非对称密码体制获得节点的密钥,从而伪造交易信息、签名以及转移他人财产等。并且区块链中的加密通信都会受到攻击,隐私数据被泄露,链内环境没有安全可言。此外,区块链主要使用ECDSA和RSA。据相关研究指出,预计到2027年,量子计算机能够在10分钟以内破解ECDSA[16],对2 048位密钥长度的RSA破译可以通过采用具有13 436个量子比特的量子处理器在177天内完成[17]。显然,在未来量子时代下,经典密码学中的非对称密码体制成为区块链发展的制约因素,需寻求新的方法进行替代。

其次,Grover量子搜索算法可以将无序数据查找的时间复杂度降至[18],而在经典计算上为。因此,在哈希函数的反演上,Grover量子搜索算法能提供平方的加速优势,导致区块链中拥有量子计算机的节点与其他节点间的算力不平衡,使得区块链遭受一系列的风险。风险之一在于哈希函数的输入理论上是无限的,但其输出的结果是有范围限制的,存在哈希冲突的可能。但在经典计算上,寻找哈希冲突是一件困难的事情,这也是哈希函数安全的保证。而在量子时代,量子计算机可以提供显著的计算优势,恶意节点可以通过运行Grover量子搜索算法寻找目标区块哈希值的哈希冲突,从而篡改区块的交易数据不被发现,成功发起伪造区块攻击。区块链数据的完整性没有被破坏,但其中区块的交易信息被篡改,使得区块链上交易的正确性不能保证。另外的风险在于,区块链所使用的基于算力的共识机制不公平。以PoW举例,节点通过计算特定的哈希值来获取区块的记账权。则拥有量子计算机的团体在生产新区块的速度上远远超过其他节点,能够垄断链上区块的生成,最终控制整个区块链。同时,利用量子计算机在反演哈希函数上的加速能力,恶意节点发起51%攻击[19]。通过迅速搭建一条长度超过主链的分支链,则分支链成为新的主链,恶意节点可以禁止其他节点交易以及实现双重花费等,链内去信任的环境被彻底破坏。

2 量子计算

量子计算是遵循量子力学原理的新型计算模式,以量子信息单元进行运算。相比于经典计算,依靠量子力学的叠加性质,量子计算具有超强的并行计算能力和优势,对于一些已知的经典计算不能有效解决的难题,量子计算可以轻易处理。当下,量子计算作为最前沿科技已成为新兴信息技术制高点。本节将介绍量子计算的基本概念,包括量子比特、量子计算门、量子纠缠。

2.1 量子比特

量子比特(qubit)是量子计算的基本信息单元[20]。相比于经典计算中使用的比特(bit),其值只能为“0”或者“1”,量子比特具备叠加性质,可以同时处于“0”态和“1”态,能存储所有可能状态的叠加。这代表着量子比特的信息容量是比特的指数级,是量子计算拥有优越性的基础。在理论上,通常使用希尔伯特向量空间(Hilbert)对量子比特的演化进行描述。作为Hilbert空间中的单位列向量,量子比特可以用Dirac符号“|􀎯”表示。例如,一个量子比特对应于一个二维的Hilbert空间,可以表示为:

其中和是二维Hilbert空间中的一组正交基,和分别表示和的概率幅,。两量子比特对应于四维的Hilbert空间,随着量子比特数的增加,其维度将成指数级增长,信息容量也成指数级上升。

2.2 量子计算门

与经典计算以逻辑门搭建电路完成计算类似,量子计算使用量子门构建量子线路进行计算[20]。常用的量子门有单量子比特门和双量子比特门,任意多量子比特门可以通过它们两种的组合构建出来。单量子比特门

量子信息技术与区块链的融合模式研究

常用的双量子比特门有CNOT、CZ等,矩阵表示为:

量子信息技术与区块链的融合模式研究

2.3 量子纠缠

量子纠缠(Quantum Entanglement)是发生在量子系统中独有的现象[20]。基于量子力学,当几个量子比特互相作用,它们所拥有的特性会融合成为整体性质。此时只能描述整个量子系统的性质,而无法单独描述每个量子比特的特性,这称为它们之间产生了量子纠缠。量子纠缠并不受距离远近的影响,两个纠缠在一起的量子比特,无论它们相隔多远,其中的相互作用一直存在,这也是量子相干性的表现形式。

以量子纠缠实现的纠缠交换,可以使从未直接发生相互作用的量子系统产生相互关联,纠缠在一起。纠缠交换能够实现传递信息的目的,在量子保密通信、量子秘密共享和量子密钥分发等领域发挥了重要的作用。

3 区块链和量子信息技术的结合——量子区块链

随着区块链的应用越来越广泛,其将在越来越多的领域起到支撑性作用。面对量子计算对区块链的挑战,区块链的发展需要更安全的技术保驾护航。在目前的研究中,针对量子攻击的问题,研究者将量子信息技术与区块链相结合,构建量子区块链。量子区块链中融入了许多具备无条件安全的量子技术,从而能抵抗量子威胁并能具备在效率上更高的优势。本节将先介绍量子区块链的发展历程,然后分析总结量子技术应用于区块链的一般方法。

3.1 量子区块链发展历程

3.1.1 半量子区块链

2018年,Kiktenko等人将量子密钥分发(Quantum Key Distribution, QKD)应用于区块链中构建了量子安全区块链方案,首次提出量子区块链概念[21]。针对区块链依赖数字签名易受到量子计算机的攻击问题,该方案通过增加一层QKD网络,为区块链节点之间两两分发无条件安全的对称密钥取代数字签名进行身份认证。该方案的其他部分仍使用经典的方法,在其运行之中,传输的信息附有QKD密钥生成的身份标签,以防止量子攻击。同时,该方案以城市光纤QKD网络搭建小规模的实验平台进行了实现。

采用QKD验证存在一个问题,由于两个节点以它们共享的密钥进行消息的验证,在区块链环境下,其并不能提供不可否认性。如果区块由某个节点记账,则该节点可以随意捏造虚假的交易添加至区块中。为了解决这一问题,量子安全区块链方案以一种去中心化的方式进行区块的记账,由每个节点自行生成区块。通过引入Shostak、Lamport和Pease提出的广播协议[22],其可以在不诚实节点数量小于n/3的网络下实现拜占庭容错共识。对每一笔未确认的区块链交易应用该机制,每个诚实节点对每笔交易达成共识。每个节点将通过验证的交易按照时间顺序打包生成区块,从而保证了诚实节点生成相同的区块,达成一致。但是,该方案中区块的构造仍是以哈希函数对区块进行标识的经典区块。具备量子计算机的节点仍然可以发起伪造区块攻击,以量子加速的优势篡改区块,入侵其他节点完成替换。

之后,Sun等人在量子安全区块链方案的基础上,将QKD验证转化为Toeplitz群签名,优化了验证过程[23]。此外,有研究将量子隐形传态和量子数字签名用于经典区块链中提高安全性,半量子的区块链方案被不断提出[24-26]。通过将QKD、量子隐形传态和量子数字签名等量子技术与经典区块链结合,提出的半量子区块链方案在一定程度上解决了量子计算对区块链的威胁,这为量子时代下区块链的研究提供了新的思路。

3.1.2 使用时间纠缠的量子区块链

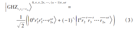
2019年,Rajan和Visser将区块链信息编码至GHZ(Greenberger–Horne–Zeilinger)态中,以光子作为信息载体,利用光子不同时共存,产生时间纠缠的性质,设计了一个量子区块链方案[27]。其中量子区块的基本单元是以光子为载体的贝尔(Bell)态,第一个量子区块为,可以记录2比特信息:

量子信息技术与区块链的融合模式研究

以正交的贝尔基对进行测量,可以提取出的值,。量子态上的角标代表光子被吸收的时间,充当时间戳的功能。对于链的构造,根据时间顺序,对相邻的两个量子区块执行贝尔投影测量,整体纠缠形成GHZ态,n个量子区块的链数据结构为:

量子信息技术与区块链的融合模式研究

此外,对于区块链交易信息的验证,同样使用文献[21]中的QKD验证方法代替数字签名。在量子区块的共识阶段,由于量子区块是量子态,需要通过观测才能清楚它的具体描述,判断其是否正确。引入θ-协议[28],通过共享量子态进行测量,量子网络中的任意节点可以验证不可信节点是否创建了一个有效的量子区块,提供共识的功能。

通过将区块链数据存储在GHZ量子态上可以有效地防篡改,当其中某个量子区块被改变,因为量子区块之间是纠缠为一个整体的,所以整个链立即失效。以量子态的方式设计区块链的数据结构,量子计算对哈希函数的反演的加速给区块链造成的影响被解决。该方案中一个贝尔态构成的量子区块只能记录2比特信息,量子资源利用率较低。而QKD验证带来的不具备不可否认性的问题依然存在,且在共识阶段也会消耗大量的量子态来测量验证。

以量子资源态的特性搭建区块链的结构,并通过量子技术保证其不可篡改和可验证等性质,进一步消除了区块链对经典密码学的依赖。使用全面的量子技术覆盖经典技术来设计区块链得到越来越广泛的关注与研究。文献[29]在Rajan和Visser的方案的基础上,引入基于量子不可克隆定理的量子货币并结合DPoS共识机制提出了一个新的量子区块链方案,减少交易所需的时间和计算资源的消耗。

3.1.3 基于超图态的量子区块链

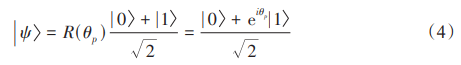
2020年,Banerjee等人使用加权量子超图态作为区块链的结构,将区块经典信息以权值的形式通过量子旋转操作加载至量子比特上,构建基于超图态的量子区块链[30]。附有权值的量子比特作为超图态的顶点,以量子纠缠的方式连接在一起形成不可分割的整体。该方案的流程如下。首先,考虑一个经典区块信息p,存在双射函数将其映射为相位角度θp。再通过量子旋转操作R(θp)将θp引入于量子态:

量子信息技术与区块链的融合模式研究

其中代表一个量子区块,包含经典区块信息p,称为权值。其次,为了实现对量子区块的共识,需在量子区块链运行之前将每个量子区块的角度信息预先设置成等比关系,即:

其中1/q是公比,和分别表示第k和第1个量子区块的相位角度,会在第1个量子区块产生之后被广播。每当节点生成一个新的量子区块,其他节点根据等比关系选择测量基对执行测量操作,验证其是否正确,从而达成共识。最后,对于链的构造,按照时间顺序,每个量子区块通过多级可控量子门操作Cn-1Z与之前所有的量子区块纠缠起来,整体形成加权超图态。

此外,在IBM量子计算云平台上,Banerjee等人将他们的方案以2量子区块和3量子区块为例子进行了实现。该方案以一个量子比特承载整个经典区块的信息,在区块链信息存储方面有着极大的提升。同样,以量子纠缠的方式代替哈希函数的功能,可以较好地抵抗量子攻击。但该方案也存在不足之处,例如不够灵活,量子资源消耗较大等。

Li等人提出量子委托权益证明共识机制(QDPoS),借鉴超图态量子区块链思想,以超图态和图态作为数据结构,结合量子数字签名,提出一种全量子区块链方案[31],如图1 所示。该方案允许节点通过量子投票进行决策,达成共识,通过量子数字签名保护数据不可伪造篡改,运行规则比较完善,且量子资源消耗较低,具备较好的实用性。

量子信息技术与区块链的融合模式研究

总而言之,量子信息技术与区块链的结合已取得阶段性的突破,量子区块链在解除区块链遭受的量子风险之外,还具备在通信、信息存储和计算速度等方面经典区块链无法比拟的优势,这充分表明区块链与量子信息技术的融合是未来区块链发展的趋势。

3.2 量子信息技术应用于区块链的一般方法

量子区块链的研究表明,量子区块链是以量子计算技术为支撑的去中心化、去信任、不可篡改的分布式账本。量子区块链与经典区块链的功能一致,区别在于实现的方法不一样,是以量子计算技术来消除区块链对经典密码学的依赖所带来的风险。量子计算与区块链相结合具体体现在:(1) 针对经典区块链中交易的处理依赖于经典数字签名易受量子攻击的问题,以量子密钥分发和量子数字签名等提供身份认证和保护数据完整,提高安全性;(2) 针对量子计算机给共识机制带来的不公平问题,以量子共识机制为区块链提供去中心化环境;(3) 针对经典区块链的数据结构依赖于哈希函数以防篡改,以量子资源态和量子纠缠设计区块链的数据结构保证存储的数据不被篡改和伪造。

3.2.1 量子密钥分发

QKD可以为通信双方无条件安全地分发一个随机的密钥,并且能检测窃听。QKD的安全性基于量子力学原理,而非经典密码学中依赖于某些数学问题的难解性,因此保证了密钥的无条件安全。以QKD分发的密钥可以用来加密解密信息、安全通信以及进行身份认证等。第一个QKD协议于1984年提出,被称为BB84协议[32],往后不同类型包括离散变量[33-35]、连续变量[36]、分布式相位参考[37-38]以及测量设备无关[39-40]的QKD协议被相继提出。

同时,QKD也是最早试点的量子技术之一。在 2017 年,我国自主研发的“墨子号”量子通信卫星投入使用,9月,国际量子保密通信干线(京沪干线)开通并与“墨子号”连通。2018年,我国和奥地利之间实现7 600 km的洲际QKD。2022年,郭光灿院士团队实现了833 km光纤QKD,以及抗环境干扰的非可信节点量子密钥分发网络。QKD技术的发展已取得一定成就,将QKD技术应用于区块链中,并结合一些其他技术比如一次性密码本,可以保护区块链中数据的安全、抗干扰地传输,并为区块链中的其他应用奠定基石。

3.2.2 量子数字签名

量子数字签名(Quantum Digital Signature, QDS)基于量子力学原理可以提供信息理论安全的签名方案。由于常用的经典数字签名大多基于公钥密码机制,安全性以大整数因式分解和离散对数求解等数学难题的复杂性假设保证,但量子算法可以破解这些数学难题,其在量子时代下不再安全。因而以量子数字签名取代经典数字签名,受到广泛的关注与研究。2001年,Gottesman和Chuang提出第一个量子数字签名方案[41],将量子私钥(经典值)通过量子单向函数映射成量子态序列作为量子公钥,以量子态叠加的性质保证无法从有限量子公钥副本中恢复出量子私钥,从而提供信息理论安全。随后基于QKD、量子一次一密、GHZ态等量子技术以及带仲裁的许多量子数字签名方案被不断提出[42-45]。

2017年,中国科学技术大学团队结合测量设备无关量子密钥分发和经典通信技术进行了量子数字签名实验[46],同年,英国东芝剑桥实验室团队也完成了该实验[47]。在区块链中应用量子数字签名,可以防止因经典数字签名给区块链带来的量子风险,提供信息的验证并能更安全地保护区块链数据的完整性。

3.2.3 量子共识机制

许多在区块链中使用的共识机制依赖于经典密码学,例如基于哈希函数的PoW以及基于公钥密码机制的共识算法等。拥有量子计算机的节点具备远超普通节点的算力,从而可以垄断区块的记账权,使得链内环境不公平,失去中心化的意义。与经典共识对应,量子网络中的量子共识得到了广泛的研究。通过量子力学实现的量子共识,以量子纠缠、量子叠加的随机测量结果和不可克隆定理等量子计算独有的特性作为安全性保证。量子共识大致分为四类,基于对称态的量子共识[48-50]、基于测量的量子共识[51]、基于纠缠的量子共识[52]以及基于QKD的量子共识[53]。通过量子共识解决区块链去信任分布式环境下如何达成一致的问题,与解决拜占庭将军问题类似,在存在故障节点的情况下,诚实节点达成共识。自2001年,Fitzi等人提出拜占庭共识问题的量子解决方案以来[54],众多量子拜占庭共识协议被提出[51,53,55-57]。将量子共识机制与区块链有机结合,从而在区块链中实现更安全、效率更高的共识算法,保证链内环境的公平性。

此外,随机数在共识机制中也发挥了重要作用,例如DPoS或PBFT[58]中节点的选举。但经典随机数是伪随机数,依靠基于经典物理噪声的随机数发生器生成。而量子随机数基于量子力学,具备信息理论安全。且量子随机数发生器可以更加精准地对信息熵源进行估计与建模,保证以量子力学的随机性生成随机数[59-60]。量子随机数发生器的研制也在快速发展,目前已达到GHz量级,并在芯片化方面有了较大的进步。将量子随机数与共识机制相结合,做到真正的随机性,为区块链去中心化、去信任化打下坚固的基础。

3.2.4 量子资源态

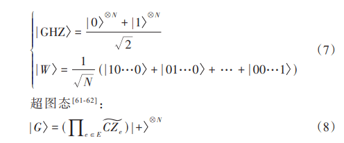
量子比特和比特都是基本信息单元,为存储信息的载体。在经典区块链中,区块是记录了交易信息的数据包,使用时间戳和哈希值进行标识并同时包含上一个区块的哈希值。按照时间顺序,区块通过哈希值链接起来,形成区块链的数据结构,以哈希函数的计算不可逆和抗碰撞等性质作为数据不可篡改的安全保证。由于量子算法对哈希函数反演的显著加速,导致区块被伪造的风险大大增加。而以量子比特作为区块链信息的载体,设计量子区块,利用量子纠缠和量子叠加等特性保证量子区块的不可篡改并提高信息容量。量子区块之间以量子纠缠的方式连接,当其中一个被篡改,它们之间的相互作用会反过来影响其他量子区块发生改变,从而导致整个量子区块链失效,保证了不可篡改性质。常用的量子资源态如下。

双量子比特纠缠态Bell态:

量子信息技术与区块链的融合模式研究

N量子比特GHZ态和W态:

量子信息技术与区块链的融合模式研究

对应于N个顶点的超图G,e是超边。以量子资源态设计区块链的数据结构,不仅可以保护链上数据的安全,更能提高信息存储的效率。把量子优势赋予区块链,必将使区块链更快、更好的发展。

4 结论

区块链和量子信息技术作为战略性前沿技术引领新一代信息技术变革,成为世界各国必争之地。且区块链已全面融入于社会中,为各行各业提供去中心化功能,支撑各个领域的创新发展。然而,区块链中使用的一些基于密码学的技术有被量子计算破解的风险,区块链需要更安全的技术保障。在量子信息技术中,存在许多无条件安全的理论和技术,可以为区块链保驾护航,量子信息技术与区块链相结合已成为研究热门。本文通过介绍区块链的基本结构和量子计算的基本概念,阐述了区块链遭受到的量子挑战;总结现有的量子区块链解决方案,分析了这些方案的优势与不足;得出量子信息技术应用于区块链的一般方法,包括量子密钥分发、量子数字签名、量子共识机制以及量子资源态等。将量子信息技术的优势赋予区块链,可以促进区块链在量子时代下良好的发展,区块链与量子信息技术的交叉融合是未来的趋势所在。量子区块链将具备更安全、效率更高的性质,为人民、国家和社会提供更好的服务。

文章来源:《电子技术应用》杂志2024年2月刊

☞商务合作:☏ 请致电 010-82306118 / ✐ 或致件 Tiger@chinaaet.com

评论